Genetics and Inheritance
Gregor Mendel was an Austrian Monk in the late 1800s who experimented with pea plants to find trait inheritance patterns in successive generations.
Mendel's Laws
- Principle of Segregation - Two alleles of a homologous pair of chromosomes separate (segregate) during gamete formation such that each gamete receives only one allele
- Principle of Independent Assortment - Alleles of a gene pair assort independently of other gene pairs. The segregation of one pair of alleles in no way alters the segregation of another pair of alleles*
*This law is not always true, when genes are linked on a chromosome, explained later
Terminology
Homozygous - An individual who has two copies of the same allele at a locus
Heterozyous - An individual who has two different alleles at the same locus
Dominant alleles only needs one copy to show the phenotype
Recessive alleles need two copies of the allele to show the phenotype
Co-dominance means the phenotype for the heterozygote is different from either homozygote
Example - Blood types A and B are co-dominant to each other, but dominant to type O:
Gene inheritance only happens during Meiosis, not mitosis (although mutations can happen in both). If you have genes close to each other, they are more likely to be inherited together, which is why Mandel's second law does not always hold.
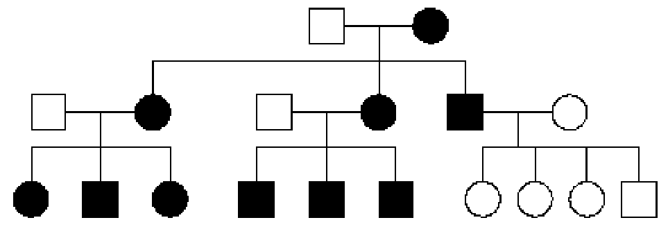
Pedigree Drawing
Diagonal line mean the person is deceased. Filled in represents individuals effected by a certain condition of interest, a half filled in shape represents a "carrier" of the condition who does not express it.
- Carrier - Individuals who carry a gene of interest
- Obligate carrier - one who must be a carrier due to observed affected in pedigree
Mendelian Diseases
Mendelian diseases are disorders caused by a mutation in a single gene. Follow a specific form of inheritance, the most common:
- Autosomal dominant- needs a single copy of the mutated disease gene to express the disease
- Vertical transmission of the disease phenotype
- Lack of skipped generations
- Roughly equal numbers of affected males and females
- Father-son transmission may be observed
- Roughly half of the offspring of an affected parent will be effected
- Autosomal recessive - Two copies of the mutated gene required to express disease.
- Clustering of the disease phenotype in siblings
- The disease is not seen in parents
- Equal numbers of affected males and females
- Consanguinity (marriage between related individuals) may be present
- X-linked recessive
- Never passed from father to son
- Males are much more likely to be affected
- Affected males get the disease from their unaffected carrier mothers; all of their daughters are obligate carriers
- Sons of carrier females have a 50% chance of receiving the mutant alleles
- Typically passed from an affected grandfather to 50% of his grandsons through daughters
- X-linked dominant
- Daughters of affected males will inherit the disease from their fathers
- Sons of the affected males cannot inherit the disease from their father (they receive Y chromosome from father)
- Sons and daughters of affected heterozygous mothers have 50% chance of inheriting the disease
- On average, twice as many affected females compared to affected males
- Males are often more severely affected
- May be associated with miscarriage or lethality in males
- Mitochondrial inheritance
- All children of affected females are affected
- None of the children of affected males are affected
- There are relatively few human diseases caused by mitochondrial mutations
Any trait that does not follow a Mendelian pattern is a complex genetic trait
Storing Family Data
There are really no standards for storing genetic data, everyone has their own way of representing it.
Here is a typical representation of a pedigree data set. 2 indicates something is present and 1 indicates it is not. Be prepared to draw a pedigree chart from something like the above.
a1 and a2 are the alleles being studied and aff is if the indicivdual is affected by the trait. We might represent the allele pair as 11, 12, 22 or 1/1, 1/2, 2/2, etc.
SNP (SNV) "single nucleotide polymorphism/variant" genotypes may be:
- Numbers (1 or 2 to indicate the two possible alleles)
- Letters (A, T, C, G to indicate bases)
- Numbers (1, 2, 3, 4) to indicate the above bases
Microsatellites may be recorded as:
- Allele lengths (number of base pairs) or number of repeats
- Consecutive numbers from 1- number of alleles which may or may not correspond to allele size
Sometimes phenotype may be complex, where it is than affected/unaffected, in which case it is usually store separately from the genetic data.
Useful Summary Information of Genetic Data
- Number of individuals genotyped
- Genotype frequencies
- Allele frequencies
- Proportion of individuals with missing markers
- Proportion of missing markers for an individual
- Number of families and number genotyped in each family, if using family data
- For quantitative traits (blood pressure, cholesterol, etc) can use averages and ranges









No Comments